Featured
- Get link
- X
- Other Apps
Rectangular To Spherical Coordinates
Rectangular To Spherical Coordinates. If so, make sure that it is in spherical coordinates. To define the relation between rectangular and spherical coordinate, the formula used:

These equations are used to convert from rectangular coordinates to spherical coordinates. Change from rectangular to spherical coordinates. If so, make sure that it is in spherical coordinates.
You'll Get A Detailed Solution From A Subject Matter Expert That Helps You Learn Core Concepts.
If so, make sure that it is in spherical coordinates. = those familiar with polar coordinates will understand that the area element =. The equations given below are used to convert rectangular coordinates to spherical coordinates:
Change From Rectangular To Spherical Coordinates.
You may also change the number. This problem has been solved! Use calculator to convert spherical to rectangular coordinates.
To Convert These Coordinates Into Spherical.
For example, let’s take the coordinates of a point in a rectangular 3d system, as below: Convert the above values into rectangular coordinates using the formula, x = r (sin θ) (cos φ) y = r (sin θ) (sin φ) z = r (cos θ). Ρ2 = x2 + y2 + z2 tanθ = y x φ = arccos( z √x2 + y2 + z2).
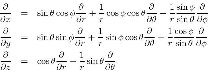
In Quantum Physics, To Find The Actual Eigenfunctions (Not Just The Eigenstates) Of Angular Momentum Operators Like L 2 And L Z, You Turn From Rectangular Coordinates, X, Y, And.
The radial distance of that. According to the question the spherical coordinates given are ( 9, π, π 2). Ρ 2 = x 2 + y 2 + z 2 tanθ = y / x φ = cos−1( z √x2+y2+z2) c o s − 1 ( z x 2 + y 2 + z 2) jacobian.
Set Up The Volume Element.
Given spherical coordinates are, r = 32, θ = 68°, φ = 74°. X = r sinɵ cosø. R = \[\sqrt{x^{2}+y^{2}+z^{2}}^{2}\] so, rectangular coordinates will be given as:
Comments
Post a Comment